2
未知 | 2021-09-12
分享
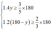
小伙伴们好 大家都复习的怎么样啦 在备考数资题型中 条件类是工程问题的常见题型之一 在近几年公考中几乎每年都会有一、两道 下面跟着图图一起来攻克这道题型吧 条件类是工程问题中一种典型的特殊模型,题目一般无法使用工程问题最主要的解题方法赋值法,解决这一类问题的方法是方程法。 工程问题核心公式为:工作总量=工作效率×工作时间,通常题干会给出三个量中的两个,此时无法使用赋值法,找到等量关系列方程进行求解。有可能给出总量和效率求时间,也有可能给出不同主体效率的差值,具体情况视题干信息进行具体分析。 在公考行测中,条件类工程问题作为简单模型,经常被涉及,并且题目常常具有高度相似性。比如以下几道题目: 某工程队计划每天修路560米,恰好可按期完成任务。如每天比计划多修80米,则可以提前2天完成,且最后1天只需修320米。问如果要提前6天完成,每天要比计划多修多少米? 【解析】 #p#分页标题#e#第一步,本题考查工程问题。 第二步,设原计划修路时间为t天,可列方程:560t=(560+80)×(t-3)+320,解得t=20,可得修路总长度为560×20=11200(米)。 第三步,要想时间提前6天完成,即20-6=14(天)完成,则每天共需修路11200÷14=800(米),那么比原计划每天多修800-560=240(米)。因此,选择B选项。 【拓展】已知效率差,利用工作总量作为等量关系,列方程进行求解。 甲、乙、丙三条生产线生产某种零件,效率比为3:4:5,甲和乙生产线共同生产A订单,完成时甲比乙少生产250个。乙和丙共同生产B订单,完成时乙生产了720个。问A订单的零件个数比B订单: 【解析】 第一步,本题考查工程问题。#p#分页标题#e# 第二步,甲乙共同完成A订单,生产时间一致则生产总量与生产效率成正比,即3:4。甲完成了3份,乙完成了4份,由题意差的一份是250,可知A订单一共(3+4)×250=1750(个)。同理,乙丙共同完成B订单,生产时间一致则生产总量与生产效率成正比,即4:5,乙完成4份是720,一份是180,B订单总量是(4+5)×180=1620(个)。A比B多1750-1620=130(个)。 因此,选择D选项。 【拓展】涉及了工程问题中的正反比例关系,需灵活掌握并运用。 某种商品有小箱和大箱两种包装,一大箱这种商品有400件,张和王同时开始制造这种商品,制造一小箱和一大箱这种商品后,张比王多做50件。如果王此时的效率提高100%,并与张再共同制造一大箱这种商品,则王制造的总件数比张多50件。问一小箱这种商品有多少件? 【解析】 第一步,本题考查工程问题。 第二步,设小王原来的效率为x,小张原来的效率为y,提升后小王的效率为2x。原来小张比小王多做50件,而最后小王做的总数比小张多50件,说明第二次小王比小张多做100件。可列方程组:2x+y=400,2x-y=100,解得x=125,y=150。#p#分页标题#e# 第三步,设第一次用时为t,150t-125t=50,解得t=2,那么一小箱商品有(150+125)×2-400=150(件)。因此,选择C选项。 【拓展】题目已知工作总量与工作量差值,设效率为未知数,列方程组进行求解,注意需对应等量关系。 某农场有180台收割机,每天可收割x吨水稻。现将y台收割机更换为新款收割机,生产效率比之前高40%;剩余的收割机进行升级,生产效率可以提高20%。如要求升级的收割机每天水稻收割总量不低于2x/3吨,新款收割机每天水稻收割总量不低于3x/5吨。则y的取值有多少种不同的可能性? 【解析】 第一步,本题考查工程问题。 第二步,令每台收割机初始效率为1,则x对应为180。y台收割机换为新款,效率提高为1.4;剩余(180-y)台收割机,效率提高为1.2。#p#分页标题#e# 第三步,由题意得 【拓展】此题的重点是一定要读清楚题目信息,分别对应换新与升级列出不等式组,在区间范围内选取符合题意的结果。 可以发现,这一类条件类题目,考查形式差异较大,唯有灵活使用方程法,才可以最终解出正确答案。因此对于这类题目,一定要理解基础逻辑,多多练习!,整理得≤y≤80,其中108÷1.4≈77.1,y为整数,取值有78、79、80三种。因此,选择B选项。
了解更多内容尽在江西人事考试网_#p#分页标题#e#江西事业单位招聘考试网_江西华图:https://jx.huatu.com/sydw/
扫描下方二维码关注华图江西事业单位官方微信(ht-jxsydw),获取江西招考资讯!

长按二维码加入备考微信群,与更多小伙伴们一起学习成长!

延伸阅读